Table of Contents
---------------------------------
PLASTIC TANKS
---------------------------------
Cylindrical — 10-12
Bulk Storage — 3-4
Horizontal Bulk Storage — 5-7
Conical Bottom Bulk Storage — 5-9
Cylindrical Cone Bottom — 8
Horizontal Storage — 6-7
Cross Linked — 4-11
Rectangular — 20-23
Acid Neutralization — 19
Internal Flange Liner — 18
Photo Lab — 17
D.O.T. Shipper — 18
Lightweight Cylindrical — 12
Drum Liners — 18
Double Wall Storage — 24
Pick Up Truck Tanks — 7
Tapered Cylindrical — 17
Brine — 17
FRP Encased Cyl. — 8-11
---------------------------------
PLASTIC CONTAINERS & HOPPERS
---------------------------------
Dispensing Hoppers — 13
Maxi-Cube — 13
Containment Pallet — 25
Tank Mixer Package — 14, 15
Transport 50, 100 — 7
Bulk Fork Lift — 5
Oil-Tainer — 26
Spill Containment — 25
Stackable Ribbed — 12
Super Lug — 27
Tote Box — 27
Utility Bins — 27
---------------------------------
STAINLESS STEEL
---------------------------------
Pressure Tanks — 29
Industrial Tanks — 30
Industrial Batch Tanks — 30
Sanitary — 31
Rectangular — 32
Conical Hopper — 33
Jacketed — 34, 35
Work Tables — 36
Custom Fabricated — 37
Drums — 38, 39
Pumps & Filters — 40-43
---------------------------------
MIXERS — 44-49
---------------------------------
FITTINGS & ACCESSORIES — 54-56
---------------------------------
CHEMICAL RESISTANCE DATA — 50-53
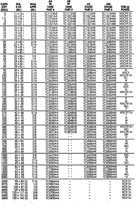
Open Top Flat Bottom Cylindrical Tanks
AA/AB
AM
AH FH
Save on Freight Costs
FOB Codes: N=NY, T=TX, I=IL, C=CA, F=FL, P=PA, Tn=TN